Vancouver, BC (January 6, 2021) Skeena Resources Limited (TSX: SKE, OTCQX: SKREF) (“Skeena” or the “Company”) is pleased to report additional diamond drill core results from the Phase 1 and Phase 2 combined campaigns of definition and exploration drilling at the Eskay Creek Project (“Eskay Creek” or the “Project”) located in the Golden Triangle of British Columbia. The Phase 2 infill program, focused upon resource category conversions for the Pre-Feasibility Study (“PFS”) on open-pit constrained resources, is on-going with six drill rigs currently active. Reference images are presented at the end of this release as well as on the Company’s website.
Eskay Creek Infill Drilling Highlights
22 Zone
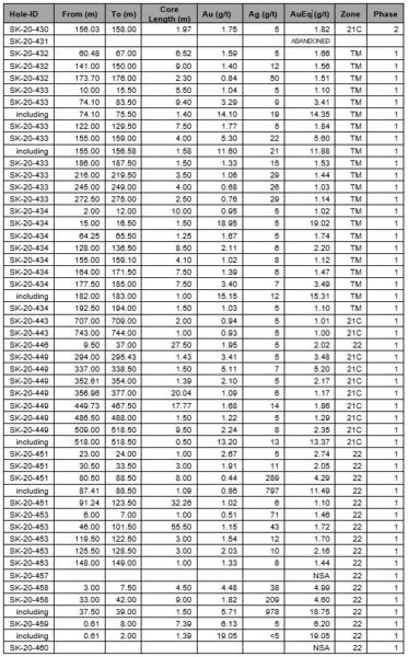
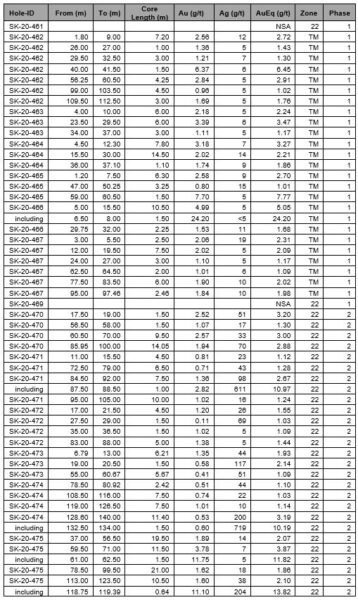
• 3.05 g/t Au, 221 g/t Ag (6.00 g/t AuEq), over 26.28 m (SK-20-481)
• 4.44 g/t Au, 228 g/t Ag (7.48 g/t AuEq), over 14.50 m (SK-20-500)
• 12.94 g/t Au, 503 g/t Ag (19.65 g/t AuEq), over 9.87 m (SK-20-507)
21 B & C Zone
• 3.65 g/t Au, 5 g/t Ag (3.71 g/t AuEq), over 25.71 m (SK-20-494)
• 3.23 g/t Au, 9 g/t Ag (3.35 g/t AuEq), over 29.35 m (SK-20-483)
• 2.82 g/t Au, 10 g/t Ag (2.95 g/t AuEq), over 31.10 m (SK-20-484)
• 5.34 g/t Au, 7 g/t Ag (5.44 g/t AuEq), over 28.65 m (SK-20-486)
Gold Equivalent (AuEq) calculated via the formula: Au (g/t) + [Ag (g/t) / 75]. True widths range from 70-100% of reported core lengths. Apparent widths are reported for the 22 Zone due to the geometry of the mineralization and the orientation of the drill holes. Length weighted AuEq composites are constrained by geological considerations. Grade-capping of individual assays has not been applied to the Au and Ag assays informing the length-weighted AuEq composites. Metallurgical processing recoveries have not been applied to the AuEq calculation and are taken at 100%. Samples below detection limit were nulled to a value of zero.
Shallow High-Grade Mineralization Discovered in 22 Zone
Inferred mineralization reported in the Company’s 2019 Mineral Resource Estimate for the southeastern portion of the 22 Zone was informed by widely spaced historical drill holes. The recent infill drilling program in the 22 Zone has discovered Au-Ag mineralization at surface within the resource reporting pit. The new discovery is highlighted by the 2020 Phase 1 intercept of 3.05 g/t Au, 221 g/t Ag (6.00 g/t AuEq), over 26.28 m which includes high-tenor sub-intervals grading 7.82 g/t Au, 724 g/t Ag (17.47 g/t AuEq) over 1.35 m and 3.18 g/t Au, 2,210 g/t Ag (32.65 g/t AuEq) over 1.50 m (SK-20-481), starting at 1.22 m from surface. This mineralization is corroborated up-dip by SK-20-437 and SK-20-438 which intersected 2.45 g/t AuEq over 21.00 m and 3.16 g/t AuEq over 13.00 m respectively. Refer to vertical section 930-22N below.
“This new discovery within the pit-constrained 22 Zone resource model was originally considered an area of unmineralized waste due to a lack of drilling and as such was not incorporated into Skeena’s 2019 PEA,” comments Paul Geddes, the Company’s Vice President of Exploration and Resource Development. “The grade and location of these recent intersections are expected to translate into additional resources when the 2020 drilling data is incorporated into the new resource model during Q1 2021.”
Preliminary Tom MacKay Exploration Identifies Footwall Replacement Mineralization
The Tom MacKay Zone is situated 2,500 m southwest of the main Eskay Creek deposits and represents a near surface, sparsely drilled historical Au-Ag occurrence hosted in footwall andesites, intermediate volcanics and the Even Lower Mudstone (ELM). The Company drilled a total of nine surface drill holes fanned from two drill pads in this area to confirm the historical data, gain geological understanding as well as test for additional mineralization.
This initial program of exploratory drill testing by Skeena has yielded discordant replacement style Au-Ag mineralization including 4.99 g/t Au, 5 g/t Ag (5.05 g/t AuEq), over 10.50 metres, including 24.20 g/t Au, <5 g/t Ag (24.20 g/t AuEq), over 1.50 metres (SK-20-466), 2.02 g/t Au, 14 g/t Ag (2.21 g/t AuEq), over 14.50 metres (SK-20-464) and 3.29 g/t Au, 9 g/t Ag (3.41 g/t AuEq), over 9.40 metres, including 14.10 g/t Au, 19 g/t Ag (14.35 g/t AuEq), over 1.40 metres (SK-20-433).
Exploration Update
The Company currently has six drill rigs operating at Eskay Creek finalizing the Phase II program of category conversion drilling. This program will be complete in mid-January 2021 at which point the drills will be re-assigned to a 5,000 m exploratory program testing targets in the near mine environment. All drilling from the Phase 2 program will be incorporated into the updated 2021 Mineral Resource Estimate.
About Skeena
Skeena Resources Limited is a junior mining company focused on developing the past-producing Eskay Creek gold-silver mine located in Tahltan Territory in the Golden Triangle of northwest British Columbia, Canada. The Company released a robust Preliminary Economic Assessment in late 2019 and is currently focused on infill and exploration drilling at Eskay Creek to advance the project to Prefeasibility. Skeena is also exploring the past-producing Snip gold mine.
On behalf of the Board of Directors of Skeena Resources Limited,
Walter Coles Jr.
President & CEO
Contact Information
Investor Inquiries: [email protected]
Office Phone: +1 604 684 8725
Company Website: www.skeenaresources.com
Qualified Persons
Exploration activities at the Eskay Creek Project are administered on site by the Company’s Exploration Managers, Raegan Markel, P.Geo. and Adrian Newton, P.Geo. In accordance with National Instrument 43-101 Standards of Disclosure for Mineral Projects, Paul Geddes, P.Geo. Vice President Exploration and Resource Development, is the Qualified Person for the Company and has prepared, validated and approved the technical and scientific content of this news release. The Company strictly adheres to CIM Best Practices Guidelines in conducting, documenting, and reporting the exploration activities on its projects.
Quality Assurance – Quality Control
Once received from the drill and processed, all drill core samples are sawn in half, labelled and bagged. The remaining drill core is subsequently securely stored on site. Numbered security tags are applied to lab shipments for chain of custody requirements. The Company inserts quality control (QC) samples at regular intervals in the sample stream, including blanks and reference materials with all sample shipments to monitor laboratory performance. The QAQC program was designed and approved by Lynda Bloom, P.Geo. of Analytical Solutions Ltd., and is overseen by the Company’s Qualified Person, Paul Geddes, P.Geo, Vice President Exploration and Resource Development.
Drill core samples are submitted to ALS Geochemistry’s analytical facility in North Vancouver, British Columbia for preparation and analysis. The ALS facility is accredited to the ISO/IEC 17025 standard for gold assays and all analytical methods include quality control materials at set frequencies with established data acceptance criteria. The entire sample is crushed and 1 kg is pulverized. Analysis for gold is by 50 g fire assay fusion with atomic absorption (AAS) finish with a lower limit of 0.01 ppm and upper limit of 100 ppm. Samples with gold assays greater than 100 ppm are re-analyzed using a 50 g fire assay fusion with gravimetric finish. Analysis for silver is by 50 g fire assay fusion with gravimetric finish with a lower limit of 5ppm and upper limit of 10,000 ppm. Samples with silver assays greater than 10,000 ppm are re-analyzed using a gravimetric silver concentrate method. A selected number of samples are also analyzed using a 48 multi-element geochemical package by a 4-acid digestion, followed by Inductively Coupled Plasma Atomic Emission Spectroscopy (ICP-AES) and Inductively Coupled Plasma Mass Spectroscopy (ICP-MS) and also for mercury using an aqua regia digest with Inductively Coupled Plasma Atomic Emission Spectroscopy (ICP-AES) finish. Samples with sulfur reporting greater than 10% from the multi-element analysis are re-analyzed for total sulfur by Leco furnace and infrared spectroscopy.
Cautionary note regarding forward-looking statements
Certain statements made and information contained herein may constitute “forward looking information” and “forward looking statements” within the meaning of applicable Canadian and United States securities legislation. These statements and information are based on facts currently available to the Company and there is no assurance that actual results will meet management’s expectations. Forward-looking statements and information may be identified by such terms as “anticipates”, “believes”, “targets”, “estimates”, “plans”, “expects”, “may”, “will”, “could” or “would”. Forward-looking statements and information contained herein are based on certain factors and assumptions regarding, among other things, the estimation of mineral resources and reserves, the realization of resource and reserve estimates, metal prices, taxation, the estimation, timing and amount of future exploration and development, capital and operating costs, the availability of financing, the receipt of regulatory approvals, environmental risks, title disputes and other matters. While the Company considers its assumptions to be reasonable as of the date hereof, forward-looking statements and information are not guarantees of future performance and readers should not place undue importance on such statements as actual events and results may differ materially from those described herein. The Company does not undertake to update any forward-looking statements or information except as may be required by applicable securities laws.
Neither the Toronto Stock Exchange nor the Investment Industry Regulatory Organization of Canada accepts responsibility for the adequacy or accuracy of this release.
Table 1: Eskay Creek Project 2020 Length Weighted Drill Hole Gold and Silver Composites:




Gold Equivalent (AuEq) calculated via the formula: Au (g/t) + [Ag (g/t) / 75]. True widths range from 70-100% of reported core lengths. Apparent widths are reported for the 22 Zone due to the geometry of the mineralization and the orientation of the drill holes. Length weighted AuEq composites are constrained by geological considerations. Grade-capping of individual assays has not been applied to the Au and Ag assays informing the length-weighted AuEq composites. Metallurgical processing recoveries have not been applied to the AuEq calculation and are taken at 100%. Samples below detection limit were nulled to a value of zero. NSA – No Significant Assays. TM – Tom MacKay.
Table 2: Mine Grid Drill Hole Locations and Orientations:







