Vancouver, BC (February 22, 2023) Skeena Resources Limited (TSX: SKE, NYSE: SKE) (“Skeena” or the “Company”) is pleased to announce drilling results from the 2022 regional and near mine exploration and delineation campaigns at the Eskay Creek gold-silver Project (“Eskay Creek” or the “Project”) in the Golden Triangle of British Columbia. This release completes the reporting for remaining drill holes from the 2022 program. Analytical results and reference images are detailed in this release as well as on the Company’s website.
2022 Near Mine Exploration Drilling Highlights:
• 18.18 g/t Au, 130.2 g/t Ag over 9.26 m (SK-22-1132) – 21A West Zone
• 14.90 g/t Au, 2.5 g/t Ag over 5.70 m (SK-22-1177) – 21A West Zone
• 0.95 g/t Au, 1,003.3 g/t Ag over 6.42 m (SK-22-1187) – 23 Zone
• 1.11 g/t Au, 19.7 g/t Ag over 26.10 m (SK-22-1187) – 23 Zone
• 4.96 g/t Au, 14.6 g/t Ag over 25.98 m (SK-22-1171) – 21E Zone
• 3.39 g/t Au, 34.4 g/t Ag over 23.77 m (SK-22-1160) – 21E Zone
• 2.78 g/t Au, 59.0 g/t Ag over 20.49 m (SK-22-1173) – 21E Zone
True widths and zone geometries cannot be definitively determined at this time. Grade-capping of individual assays has not been applied to the Au and Ag assays informing the length-weighted composites. Samples below detection limit were nulled to a value of zero.
New Mineralization Expands 21A West Zone
Situated at a vertical depth of 25 metres below surface, drill hole SK-22-1132 has vertically extended the 21A West Zone to near-surface with an intersection of 18.18 g/t Au, 130.2 g/t Ag over 9.26 m. This new intercept occurs in a portion of the 21A Zone that is devoid of historical drilling and 75 metres vertically up-dip of previously reported Skeena drill hole SK-22-1031, which intersected 2.21 g/t Au, 4.6 g/t Ag over 50.00 m.
An additional extension to the south end of the 21A West Zone just beyond the Feasibility Study pit limits and only 10 metres below surface was completed by drill hole SK-22-1177, averaging 14.90 g/t Au, 2.5 g/t Ag over 5.70 m. This new expansion occurs 100 metres vertically up-dip of previously reported drill hole SK-22-1028, which intersected 1.74 g/t Au, 1.7 g/t Ag over 46.77 m. The space between the two drill holes remains untested.
The 21A West Zone has been defined by 2022 drilling over a 350 metre strike length from surface to 200 metres below surface. Horizontal widths of the zone vary and range from thicknesses of 1 to 50 metres. The 21A West Zone remains open for expansion along strike as well as at depth.
23 Zone Continues to Develop
New rhyolite and dacite hosted mineralization analogous to that observed in the 23 Zone has been discovered south of the 21E Zone. Drill hole SK-22-1187 intersected two noteworthy horizons, the first of which is argentiferous and occurs at surface grading 0.95 g/t Au, 1,003.3 g/t Ag over 6.42 m. The second occurrence, averaging 1.11 g/t Au, 19.7 g/t Ag over 26.10 m, is situated 65 metres vertically below surface in a previously untested northern extension of the 23 Zone.
To date, the mineralized horizons comprising the 23 Zone have been traced by variably spaced exploratory drilling from the 21E Zone south for approximately 800 metres. Drilling has outlined mineralization from surface to more than 300 metres below surface and remains open for expansion.
21E Zone Exploration and Delineation
Exploration and delineation drilling within the area surrounding the 21E Zone was targeted at mineralization analogous to that observed along strike in the 23 Zone. New dacite hosted mineralization was encountered by SK-22-1170, averaging 1.01 g/t Au, 37.9 g/t Ag over 21.21 m, located 35 metres below the Feasibility Study pit shell.
Previously defined 21E Zone resources were corroborated by the 2022 drill holes in this area as they tested mineralization below and along strike of the known resources. Highlights include 4.96 g/t Au, 14.6 g/t Ag over 25.98 m, 3.39 g/t Au, 34.4 g/t Ag over 23.77 m and 2.78 g/t Au, 59.0 g/t Ag over 20.49 m in drill holes SK-22-1171, SK-22-1160 and SK-22-1173, respectively.
Expected Timing of Mineral Resource Estimate
The 21A West Zone and 23 Zones were discovered by Skeena in 2021 and represent rhyolite-dacite hosted synvolcanic feeder style mineralization that has not yet been included in any Mineral Resource Estimates (“MRE”) or economic analyses. With all analytical results now received from the 2022 drilling program, the Company will be incorporating all drilling data from after September 2021 into an updated MRE¬¬ scheduled for completion in H1 2023.
About Skeena
Skeena Resources Limited is a Canadian mining exploration and development company focused on revitalizing the past-producing Eskay Creek gold-silver mine located in Tahltan Territory in the Golden Triangle of northwest British Columbia, Canada. The Company released a Feasibility Study for Eskay Creek in September 2022 which highlights an after-tax NPV5% of C$1.4B, 50% IRR, and a 1-year payback at US$1,700/oz Au and US$19/oz Ag.
On behalf of the Board of Directors of Skeena Resources Limited,
Walter Coles Jr. Randy Reichert
Executive Chairman President & CEO
Contact Information
Investor Inquiries: [email protected]
Office Phone: +1 604 684 8725
Company Website: www.skeenaresources.com
Qualified Persons
Exploration activities at the Eskay Creek Project are administered on site by the Company’s Exploration Managers, John Tyler, P.Geo., Raegan Markel, P.Geo. and Vice President of Exploration, Adrian Newton, P.Geo. In accordance with National Instrument 43-101 Standards of Disclosure for Mineral Projects, Paul Geddes, P.Geo. Senior Vice President Exploration and Resource Development, is the Qualified Person for the Company and has prepared, validated and approved the technical and scientific content of this news release. The Company strictly adheres to CIM Best Practices Guidelines in conducting, documenting and reporting the exploration activities on its projects.
Quality Assurance – Quality Control
Once received from the drill and processed, all drill core samples are sawn in half, labelled and bagged. The remaining drill core is subsequently securely stored on site. Numbered security tags are applied to lab shipments for chain of custody requirements. The Company inserts quality control (QC) samples at regular intervals in the sample stream, including blanks and reference materials with all sample shipments to monitor laboratory performance. The QAQC program was designed and approved by Lynda Bloom, P.Geo. of Analytical Solutions Ltd., and is overseen by the Company’s Qualified Person, Paul Geddes, P.Geo, Senior Vice President Exploration and Resource Development.
Drill core samples are submitted to ALS Geochemistry’s analytical facility in North Vancouver, British Columbia for preparation and analysis. The ALS facility is accredited to the ISO/IEC 17025 standard for gold assays and all analytical methods include quality control materials at set frequencies with established data acceptance criteria. The entire sample is crushed and 1 kg is pulverized. Analysis for gold is by 50 g fire assay fusion with atomic absorption (AAS) finish with a lower limit of 0.01 ppm and upper limit of 100 ppm. Samples with gold assays greater than 100 ppm are re-analyzed using a 50 g fire assay fusion with gravimetric finish. Analysis for silver is by 50 g fire assay fusion with gravimetric finish with a lower limit of 5 ppm and upper limit of 10,000 ppm. Samples with silver assays greater than 10,000 ppm are re-analyzed using a gravimetric silver concentrate method. A selected number of samples are also analyzed using a 48 multi-element geochemical package by a 4-acid digestion, followed by Inductively Coupled Plasma Atomic Emission Spectroscopy (ICP-AES) and Inductively Coupled Plasma Mass Spectroscopy (ICP-MS) and also for mercury using an aqua regia digest with Inductively Coupled Plasma Atomic Emission Spectroscopy (ICP-AES) finish. Samples with sulfur reporting greater than 10% from the multi-element analysis are re-analyzed for total sulfur by Leco furnace and infrared spectroscopy.
Cautionary note regarding forward-looking statements
Certain statements and information contained or incorporated by reference in this news release constitute “forward-looking information” and “forward-looking statements” within the meaning of applicable Canadian and United States securities legislation (collectively, “forward-looking statements”). These statements relate to future events or our future performance. The use of words such as “anticipates”, “believes”, “proposes”, “contemplates”, “generates”, “targets”, “is projected”, “is planned”, “considers”, “estimates”, “expects”, “is expected”, “potential” and similar expressions, or statements that certain actions, events or results “may”, “might”, “will”, “could”, or “would” be taken, achieved, or occur, may identify forward-looking statements. All statements other than statements of historical fact are forward-looking statements. Specific forward-looking statements contained herein include, but are not limited to, statements regarding the results of the Feasibility Study, processing capacity of the mine, anticipated mine life, probable reserves, estimated project capital and operating costs, sustaining costs, results of test work and studies, planned environmental assessments, the future price of metals, metal concentrate, and future exploration and development. Such forward-looking statements are based on material factors and/or assumptions which include, but are not limited to, the estimation of mineral resources and reserves, the realization of resource and reserve estimates, metal prices, taxation, the estimation, timing and amount of future exploration and development, capital and operating costs, the availability of financing, the receipt of regulatory approvals, environmental risks, title disputes and the assumptions set forth herein and in the Company’s MD&A for the year ended December 31, 2021, its most recently filed interim MD&A, and the Company’s Annual Information Form (“AIF”) dated March 31, 2022. Such forward-looking statements represent the Company’s management expectations, estimates and projections regarding future events or circumstances on the date the statements are made, and are necessarily based on several estimates and assumptions that, while considered reasonable by the Company as of the date hereof, are not guarantees of future performance. Actual events and results may differ materially from those described herein, and are subject to significant operational, business, economic, and regulatory risks and uncertainties. The risks and uncertainties that may affect the forward-looking statements in this news release include, among others: the inherent risks involved in exploration and development of mineral properties, including permitting and other government approvals; changes in economic conditions, including changes in the price of gold and other key variables; changes in mine plans and other factors, including accidents, equipment breakdown, bad weather and other project execution delays, many of which are beyond the control of the Company; environmental risks and unanticipated reclamation expenses; and other risk factors identified in the Company’s MD&A for the year ended December 31, 2021, its most recently filed interim MD&A, the AIF dated March 31, 2022, the Company’s short form base shelf prospectus dated January 31, 2023, and in the Company’s other periodic filings with securities and regulatory authorities in Canada and the United States that are available on SEDAR at www.sedar.com or on EDGAR at www.sec.gov.
Readers should not place undue reliance on such forward-looking statements. Any forward-looking statement speaks only as of the date on which it is made and the Company does not undertake any obligations to update and/or revise any forward-looking statements except as required by applicable securities laws.
Cautionary note to U.S. Investors concerning estimates of mineral reserves and mineral resources
Skeena’s mineral reserves and mineral resources included or incorporated by reference herein have been estimated in accordance with National Instrument 43-101 – Standards of Disclosure for Mineral Projects (“NI 43-101”) as required by Canadian securities regulatory authorities, which differ from the requirements of U.S. securities laws. The terms “mineral reserve”, “proven mineral reserve”, “probable mineral reserve”, “mineral resource”, “measured mineral resource”, “indicated mineral resource” and “inferred mineral resource” are Canadian mining terms as defined in accordance with NI 43-101 and the Canadian Institute of Mining, Metallurgy and Petroleum (“CIM”) “CIM Definition Standards – For Mineral Resources and Mineral Reserves” adopted by the CIM Council (as amended, the “CIM Definition Standards”). These standards differ significantly from the mineral property disclosure requirements of the U.S. Securities and Exchange Commission in Regulation S-K Subpart 1300 (the “SEC Modernization Rules”). Skeena is not currently subject to the SEC Modernization Rules. Accordingly, Skeena’s disclosure of mineralization and other technical information may differ significantly from the information that would be disclosed had Skeena prepared the information under the standards adopted under the SEC Modernization Rules.
In addition, investors are cautioned not to assume that any part or all of Skeena’s mineral resources constitute or will be converted into reserves. These terms have a great amount of uncertainty as to their economic and legal feasibility. Accordingly, investors are cautioned not to assume that any “measured”, “indicated”, or “inferred” mineral resources that Skeena reports are or will be economically or legally mineable. Further, “inferred mineral resources” have a great amount of uncertainty as to their existence, and great uncertainty as to their economic and legal feasibility. It cannot be assumed that all or any part of an “inferred mineral resource” will ever be upgraded to a higher category. Under Canadian securities laws, estimates of “inferred mineral resources” may not form the basis of feasibility or prefeasibility studies, except in rare cases where permitted under NI 43-101.
For these reasons, the mineral reserve and mineral resource estimates and related information presented herein may not be comparable to similar information made public by U.S. companies subject to the reporting and disclosure requirements under the U.S. federal securities laws and the rules and regulations thereunder.



Table 1: Eskay Creek Project 2022 Exploratory Drilling Length-Weighted Drill Hole Composites:









True widths and zone geometries cannot be definitively determined at this time. Grade-capping of individual assays has not been applied to the Au and Ag assays informing the length-weighted composites. Samples below detection limit were nulled to a value of zero. NSA – No Significant Assays.
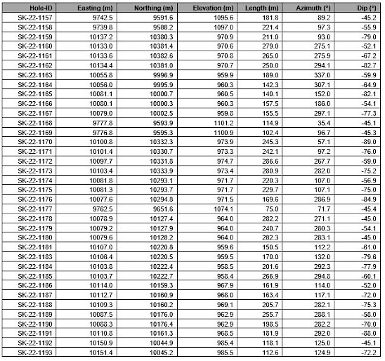
Table 2: Mine Grid Drill Hole Locations and Orientations:





