Vancouver, BC (February 17, 2021) Skeena Resources Limited (TSX: SKE, OTCQX: SKREF) (“Skeena” or the “Company”) is pleased to report additional diamond drill core results from the Phase 2 campaign of definition and exploration drilling at the Eskay Creek Project (“Eskay Creek” or the “Project”) located in the Golden Triangle of British Columbia. The Phase 2 infill program, focused upon resource category conversions for the Pre-Feasibility Study (“PFS”) on open-pit constrained resources, is now complete. The Company has also recently completed a 5,000 m near-mine exploration program at Eskay Creek and is awaiting results. Reference images are presented at the end of this release as well as on the Company’s website.
Eskay Creek Infill Drilling Highlights
New 21C-HW Zone:
• 4.33 g/t Au, 13 g/t Ag (4.50 g/t AuEq) over 20.05 m (SK-20-692)
• 4.65 g/t Au, 11 g/t Ag (4.80 g/t AuEq) over 30.50 m (SK-20-780)
21C Zone:
• 3.87 g/t Au, 7 g/t Ag (3.96 g/t AuEq) over 24.70 m (SK-20-721)
• 2.69 g/t Au, 30 g/t Ag (3.09 g/t AuEq) over 33.92 m (SK-20-735)
• 3.20 g/t Au, 83 g/t Ag (4.31 g/t AuEq) over 29.35 m (SK-20-748)
21E Zone:
• 3.34 g/t Au, 160 g/t Ag (5.48 g/t AuEq) over 24.50 m (SK-20-742)
• 5.68 g/t Au, 38 g/t Ag (6.18 g/t AuEq) over 28.02 m (SK-20-752)
• 4.11 g/t Au, 164 g/t Ag (6.30 g/t AuEq) over 28.09 m (SK-20-757)
• 3.85 g/t Au, 53 g/t Ag (4.55 g/t AuEq) over 26.10 m (SK-20-759)
• 2.49 g/t Au, 213 g/t Ag (5.34 g/t AuEq) over 25.50 m (SK-20-763)
• 3.14 g/t Au, 114 g/t Ag (4.65 g/t AuEq) over 40.89 m (SK-20-764)
21B, HW Zones:
• 3.92 g/t Au, 26 g/t Ag (4.27 g/t AuEq) over 25.00 m (SK-20-754)
• 5.35 g/t Au, 113 g/t Ag (6.86 g/t AuEq) over 15.50 m (SK-20-773)
Gold Equivalent (AuEq) calculated via the formula: Au (g/t) + [Ag (g/t) / 75]. True widths range from 70-100% of reported core lengths. Length weighted AuEq composites are constrained by geological considerations. Grade-capping of individual assays has not been applied to the Au and Ag assays informing the length-weighted AuEq composites. Metallurgical processing recoveries have not been applied to the AuEq calculation and are taken at 100%. Samples below detection limit were nulled to a value of zero.
New In-Pit Mineralization Discovered Above the 21C Zone
Situated within the open-pit contemplated by the Company’s 2019 Preliminary Economic Assessment, a previously unrecognized zone of mineralization has been discovered above the 21C Zone. Examples of this recently drilled mineralization (21C-HW Zone) include 4.65 g/t Au, 11 g/t Ag (4.80 g/t AuEq) over 30.50 m (SK-20-780), 4.33 g/t Au, 13 g/t Ag (4.50 g/t AuEq) over 20.05 m (SK-20-692), and 1.39 g/t Au, 8 g/t Ag (1.49 g/t AuEq) over 29.25 m (and SK-20-698).
A subvertical, reactivated synvolcanic structure, this newly documented zone of discordant, replacement-style mineralization occurs uncharacteristically in the hanging-wall andesites and interflow sediments above the historically mined Contact Mudstones. To date, the 21C-HW Zone mineralization has been outlined over a strike length of 160 m and is open for expansion along strike and dip. Prior to the discovery of this mineralization, the only other occurrence of an economically mineralized synvolcanic structure in the hanging wall rocks of the Eskay Creek deposits occurs at the fittingly named HW (Hanging Wall) Zone, which is situated stratigraphically above the Contact Mudstones of the 21B Zone.
“Although this newly developing zone is in its infancy, there are many positive implications associated with this finding from both a resource development and exploration perspective” comments Paul Geddes, the Company’s Vice President of Exploration and Resource Development. “Firstly, this portion of the pit constrained resource was considered unmineralized waste rock due to a lack of drill hole sampling by previous operators and it will now likely translate into additional resources in the Company’s upcoming resource update, which is expected to be released this spring. Secondly, this new information clearly demonstrates that the Eskay Creek mineralizing events in the hanging wall rocks were not constrained to a single locale as exemplified by the original HW Zone. This discovery fortifies the sizable exploration potential of this large-scale mineralizing system for both near mine and regional resource expansion.”
21E Zone Continues to Validate High Tenor of Pit Constrained Mineralization
Equally as impressive are the tenor and widths that have recently been drilled in the 21E Zone as is highlighted by 27.13 g/t Au, 271 g/t Ag (30.74 g/t AuEq) over 10.00 m (SK-20-746) including impressive subintervals grading 109.00 g/t Au, 199 g/t Ag (111.65 g/t AuEq) over 1.00 m and 89.10 g/t Au, 2,450 g/t Ag (121.77 g/t AuEq) over 0.80 m. This intercept represents a 20 m step out and potential expansion of in-pit resources due to its location outside the limits of the existing resource model. The 21E Zone is situated on the eastern flank of the Eskay Creek deposits and represent a combination of primary exhalative mineralization overprinted and enriched by auriferous fluids during protracted reactivation of synvolcanic structures.
About Skeena
Skeena Resources Limited is a Canadian mining exploration company focused on revitalizing the past-producing Eskay Creek gold-silver mine located in Tahltan Territory in the Golden Triangle of northwest British Columbia, Canada. The Company released a robust Preliminary Economic Assessment in late 2019 and is currently focused on infill and exploration drilling to advance Eskay Creek to full Feasibility by the end of 2021. Additionally, Skeena continues exploration programs at the past-producing Snip gold mine.
On behalf of the Board of Directors of Skeena Resources Limited,
Walter Coles Jr.
President & CEO
Contact Information
Investor Inquiries: [email protected]
Office Phone: +1 604 684 8725
Company Website: www.skeenaresources.com
Qualified Persons
Exploration activities at the Eskay Creek Project are administered on site by the Company’s Exploration Managers, Raegan Markel, P.Geo. and Adrian Newton, P.Geo. In accordance with National Instrument 43-101 Standards of Disclosure for Mineral Projects, Paul Geddes, P.Geo. Vice President Exploration and Resource Development, is the Qualified Person for the Company and has prepared, validated and approved the technical and scientific content of this news release. The Company strictly adheres to CIM Best Practices Guidelines in conducting, documenting, and reporting the exploration activities on its projects.
Quality Assurance – Quality Control
Once received from the drill and processed, all drill core samples are sawn in half, labelled and bagged. The remaining drill core is subsequently securely stored on site. Numbered security tags are applied to lab shipments for chain of custody requirements. The Company inserts quality control (QC) samples at regular intervals in the sample stream, including blanks and reference materials with all sample shipments to monitor laboratory performance. The QAQC program was designed and approved by Lynda Bloom, P.Geo. of Analytical Solutions Ltd., and is overseen by the Company’s Qualified Person, Paul Geddes, P.Geo, Vice President Exploration and Resource Development.
Drill core samples are submitted to ALS Geochemistry’s analytical facility in North Vancouver, British Columbia for preparation and analysis. The ALS facility is accredited to the ISO/IEC 17025 standard for gold assays and all analytical methods include quality control materials at set frequencies with established data acceptance criteria. The entire sample is crushed and 1 kg is pulverized. Analysis for gold is by 50 g fire assay fusion with atomic absorption (AAS) finish with a lower limit of 0.01 ppm and upper limit of 100 ppm. Samples with gold assays greater than 100 ppm are re-analyzed using a 50 g fire assay fusion with gravimetric finish. Analysis for silver is by 50 g fire assay fusion with gravimetric finish with a lower limit of 5ppm and upper limit of 10,000 ppm. Samples with silver assays greater than 10,000 ppm are re-analyzed using a gravimetric silver concentrate method. A selected number of samples are also analyzed using a 48 multi-element geochemical package by a 4-acid digestion, followed by Inductively Coupled Plasma Atomic Emission Spectroscopy (ICP-AES) and Inductively Coupled Plasma Mass Spectroscopy (ICP-MS) and also for mercury using an aqua regia digest with Inductively Coupled Plasma Atomic Emission Spectroscopy (ICP-AES) finish. Samples with sulfur reporting greater than 10% from the multi-element analysis are re-analyzed for total sulfur by Leco furnace and infrared spectroscopy.
Cautionary note regarding forward-looking statements
Certain statements made and information contained herein may constitute “forward looking information” and “forward looking statements” within the meaning of applicable Canadian and United States securities legislation. These statements and information are based on facts currently available to the Company and there is no assurance that actual results will meet management’s expectations. Forward-looking statements and information may be identified by such terms as “anticipates”, “believes”, “targets”, “estimates”, “plans”, “expects”, “may”, “will”, “could” or “would”. Forward-looking statements and information contained herein are based on certain factors and assumptions regarding, among other things, the estimation of mineral resources and reserves, the realization of resource and reserve estimates, metal prices, taxation, the estimation, timing and amount of future exploration and development, capital and operating costs, the availability of financing, the receipt of regulatory approvals, environmental risks, title disputes and other matters. While the Company considers its assumptions to be reasonable as of the date hereof, forward-looking statements and information are not guarantees of future performance and readers should not place undue importance on such statements as actual events and results may differ materially from those described herein. The Company does not undertake to update any forward-looking statements or information except as may be required by applicable securities laws.
Neither the Toronto Stock Exchange nor the Investment Industry Regulatory Organization of Canada accepts responsibility for the adequacy or accuracy of this release.
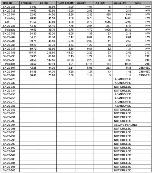
Table 1: Eskay Creek Project 2020 Length-Weighted Drill Hole Gold and Silver Composites:






Gold Equivalent (AuEq) calculated via the formula: Au (g/t) + [Ag (g/t) / 75]. True widths range from 70-100% of reported core lengths. Length weighted AuEq composites are constrained by geological considerations. Grade-capping of individual assays has not been applied to the Au and Ag assays informing the length-weighted AuEq composites. Metallurgical processing recoveries have not been applied to the AuEq calculation and are taken at 100%. Samples below detection limit were nulled to a value of zero. NSA – No Significant Assays.
Table 2: Mine Grid Drill Hole Locations and Orientations:













