Vancouver, BC (January 14, 2020) Skeena Resources Limited (TSX.V: SKE, OTCQX: SKREF) (“Skeena” or the “Company”) is pleased to announce additional gold-silver drill results from the 2019 Phase I surface drilling program at the Eskay Creek Project (“Eskay Creek”) located in the Golden Triangle of British Columbia. Four surface drill rigs were utilized for the 2019 Phase I program in the 21A, 21E and HW Zones to infill and upgrade areas of inferred resources to the indicated classification. Drill hole results reported in this release are from the 21A, 21E and HW Zones. Reference images are presented at the end of this release as well as on the Company’s website.
Phase I Eskay Creek Drilling Highlights:
- 10.14 g/t Au, 345 g/t Ag (14.73 g/t AuEq) over 36.85 m 21A (SK-19-170)
- 2.90 g/t Au, 278 g/t Ag (6.60 g/t AuEq) over 57.90 m 21A (SK-19-153)
- 4.14 g/t Au, 151 g/t Ag (6.15 g/t AuEq) over 61.50 m 21A (SK-19-151)
- 7.01 g/t Au, 114 g/t Ag (8.53 g/t AuEq) over 37.89 m 21A (SK-19-160)
- 4.09 g/t Au, 52 g/t Ag (4.78 g/t AuEq) over 59.00 m 21A (SK-19-148)
- 6.34 g/t Au, 42 g/t Ag (6.91 g/t AuEq) over 34.00 m 21A (SK-19-167)
- 8.33 g/t Au, 51 g/t Ag (9.02 g/t AuEq) over 18.45 m 21A (SK-19-164)
Gold Equivalent (AuEq) calculated via the formula: Au (g/t) + [Ag (g/t) / 75]. Reported core lengths represent 80-100% of true widths and are supported by well-defined mineralization geometries derived from historical drilling. Grade capping of individual assays has not been applied to the Au and Ag assays informing the length weighted AuEq composites. Processing recoveries have not been applied to the AuEq calculation and are disclosed at 100%. Samples below detection limit are nulled to a value of zero.
21A Zone Continues to Demonstrate Increased Grades and Widths
2019 Phase I drilling within the 21A Zone continues to return both higher Au-Ag grades and thicknesses than expected. The newest infill hole SK-19-170 intersected 10.14 g/t Au, 345 g/t Ag (14.73 g/t AuEq) over 36.85 m (refer to attached section). This drill hole was originally designed to add confidence to the inferred resources; however, the intersection has established both higher grades and greater widths than the surrounding historical drill holes. For comparison, the nearest historical drill hole CA89-078 only intersected 7.16 g/t AuEq over 16.71 m.
It is also important to note that this high-grade mineralization occurs not only in the mudstone but also stratigraphically below the mudstone within intensely sheared, brecciated and hydrothermally altered rhyolites. This potentially indicates the uppermost expression of a previously unidentified synvolcanic feeder structure, which could lead to additional exploration targets.
“The ongoing 2019 Phase I drilling program has been and continues to be very successful in that the Company’s drill intercepts continue to predictably validate the geometries and grades defined by the historical drilling”, comments Paul Geddes, the Company’s Vice President of Exploration and Resource Development. “We are also quite encouraged by the improved mineralization widths and gold-silver grades as we infill and upgrade the inferred resources. The 2020 mandate to organically grow the current resource base at Eskay Creek will involve the allocation of approximately 30% of the current drill budget to exploratory step out drilling”.
Current Status – Eskay Creek Drilling
Four ground-based drill rigs are currently on site at the Eskay Creek Project. The Company anticipates commencement of the ground based 2020 Phase I infill and exploration drilling program in February.
About Skeena
Skeena Resources Limited is a junior Canadian mining exploration company focused on developing prospective precious and base metal properties in the Golden Triangle of northwest British Columbia, Canada. The Company’s primary activities are the exploration and development of the past-producing Snip mine and the Eskay Creek mine. In addition, the Company has completed a Preliminary Economic Assessment on the GJ copper-gold porphyry project.
On behalf of the Board of Directors of Skeena Resources Limited,

Walter Coles Jr.
President & CEO
Qualified Persons
Exploration activities at the Eskay Creek Project are administered on site by the Company’s Exploration Managers, Colin Russell, P.Geo. and Adrian Newton, P.Geo. In accordance with National Instrument 43-101 Standards of Disclosure for Mineral Projects, Paul Geddes, P.Geo. Vice President Exploration and Resource Development, is the Qualified Person for the Company and has prepared, validated and approved the technical and scientific content of this news release. The Company strictly adheres to CIM Best Practices Guidelines in conducting, documenting, and reporting its exploration activities on its exploration projects.
Quality Assurance – Quality Control
Once received from the drill and processed, all drill core samples are sawn in half, labelled and bagged. The remaining drill core is subsequently securely stored on site. Numbered security tags are applied to lab shipments for chain of custody requirements. The Company inserts quality control (QC) samples at regular intervals in the sample stream, including blanks and reference materials with all sample shipments to monitor laboratory performance. The QAQC program was designed and approved by Lynda Bloom, P.Geo. of Analytical Solutions Ltd., and is overseen by the Company’s Qualified Person, Paul Geddes, P.Geo, Vice President Exploration and Resource Development.
Drill core samples are submitted to ALS Geochemistry’s analytical facility in North Vancouver, British Columbia for preparation and analysis. The ALS facility is accredited to the ISO/IEC 17025 standard for gold assays and all analytical methods include quality control materials at set frequencies with established data acceptance criteria. The entire sample is crushed and 1kg is pulverized. Analysis for gold is by 50g fire assay fusion with atomic absorption (AAS) finish with a lower limit of 0.01 ppm and upper limit of 100 ppm. Samples with gold assays greater than 100ppm are re-analyzed using a 50g fire assay fusion with gravimetric finish. Analysis for silver is by 50g fire assay fusion with gravimetric finish with a lower limit of 5ppm and upper limit of 10,000ppm. Samples with silver assays greater than 10,000ppm are re-analyzed using a gravimetric silver concentrate method. A selected number of samples are also analyzed using a 48 multi-elemental geochemical package by a 4-acid digestion, followed by Inductively Coupled Plasma Atomic Emission Spectroscopy (ICP-AES) and Inductively Coupled Plasma Mass Spectroscopy (ICP-MS) and also for mercury using an aqua regia digest with Inductively Coupled Plasma Atomic Emission Spectroscopy (ICP-AES) finish. Samples with sulfur reporting greater than 10% from the multi-element analysis are re-analyzed for total sulfur by Leco furnace and infrared spectroscopy.
Cautionary note regarding forward-looking statements
Certain statements made and information contained herein may constitute “forward looking information” and “forward looking statements” within the meaning of applicable Canadian and United States securities legislation. These statements and information are based on facts currently available to the Company and there is no assurance that actual results will meet management’s expectations.Forward-looking statements and information may be identified by such terms as “anticipates”, “believes”, “targets”, “estimates”, “plans”, “expects”, “may”, “will”, “could” or “would”.Forward-looking statements and information contained herein are based on certain factors and assumptions regarding, among other things, the estimation of mineral resources and reserves, the realization of resource and reserve estimates, metal prices, taxation, the estimation, timing and amount of future exploration and development, capital and operating costs, the availability of financing, the receipt of regulatory approvals, environmental risks, title disputes and other matters.While the Company considers its assumptions to be reasonable as of the date hereof, forward-looking statements and information are not guarantees of future performance and readers should not place undue importance on such statements as actual events and results may differ materially from those described herein. The Company does not undertake to update any forward-looking statements or information except as may be required by applicable securities laws.
Neither TSX Venture Exchange nor the Investment Industry Regulatory Organization of Canada accepts responsibility for the adequacy or accuracy of this release.
Table 1: Eskay Creek Poject 2019 Phase I length weighted drill hole gold and silver composites:



Gold Equivalent (AuEQ) calculated via the formula: Au (g/t) + [Ag (g/t) / 75]. Reported core lengths represent 80-100% of true widths and are supported by well-defined mineralization geometries derived from historical drilling. Length weighted AuEQ composites were constrained by geological considerations. Grade capping of individual assays has not been applied to the Au and Ag assays informing the length weighted AuEQ composites. Processing recoveries have not been applied to the AuEQ calculation and are disclosed at 100%. Samples below detection limit were nulled to a value of zero.
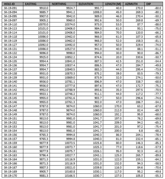
Table 2: Mine grid Phase I drill hole locations and orientations:







