Vancouver, BC (February 11, 2020) Skeena Resources Limited (TSX.V: SKE, OTCQX: SKREF) (“Skeena” or the “Company”) is pleased to announce additional gold-silver drill results from the 2019 Phase I surface drilling program at the Eskay Creek Project (“Eskay Creek”) located in the Golden Triangle of British Columbia. Four surface drill rigs were utilized for the 2019 Phase I program in the 21A, 21E and HW Zones to infill and upgrade areas of Inferred resources to the Indicated classification. Drill hole results reported in this release are from the 21A, 21E and HW Zones. Reference images are presented at the end of this release as well as on the Company’s website.
Phase I Eskay Creek Drilling Highlights:
- 11.53 g/t Au, 247 g/t Ag (14.82 g/t AuEq) over 31.30 m (SK-19-172) – 21A Zone
- 15.02 g/t Au, 70 g/t Ag (15.96 g/t AuEq) over 18.26 m (SK-19-171A) – 21A Zone
- 1.51 g/t Au, 355 g/t Ag (6.24 g/t AuEq) over 21.00 m (SK-19-201) – 21E Zone
- 2.83 g/t Au, 44 g/t Ag (3.42 g/t AuEq) over 25.00 m (SK-19-208) – 21E Zone
Gold Equivalent (AuEq) calculated via the formula: Au (g/t) + [Ag (g/t) / 75]. Reported core lengths represent 80-100% of true widths and are supported by well-defined mineralization geometries derived from historical drilling. Grade capping of individual assays has not been applied to the Au and Ag assays informing the length weighted AuEq composites. Processing recoveries have not been applied to the AuEq calculation and are disclosed at 100%. Samples below detection limit are nulled to a value of zero.
2019 Drilling Continues to Intersect Increased Grades, While Confirming Widths
Infill drilling within the 21A Zone continues to improve upon historically defined grades as demonstrated by 2019 Phase I drill hole SK-19-172 which intersected 14.82 g/t AuEq over 31.30 metres. This drilling confirms the 21A Zone thickness as indicated by the nearest historical drill hole in the current mineral resource model which is located 20 metres down-dip and intersected slightly lower grade mineralization of 7.63 g/t AuEq over 26.90 metres (CA89-080).
Likewise, additional up-dip confirmation was provided by drill hole SK-19-061 which averaged 10.56 g/t AuEq over 27.50 metres and correlates very well with previously reported thickness from 2018 Phase I drill hole SK-18-023 that intersected 14.57 g/t AuEq over 31.50 metres.
Mineralization within this portion of the 21A Zone is dominantly hosted within the footwall rhyolite sequence with only a minor contribution from the mudstones (refer to attached section).
Current Status – Eskay Creek Drilling
Four surface-based drill rigs are currently on site at Eskay Creek. The Company anticipates commencement of the surface 2020 Phase I infill and exploration drilling program in mid-February 2020. The remaining analytical results from the 2019 Phase I drilling program will be disclosed once all information has been received and validated.
About Skeena
Skeena Resources Limited is a junior Canadian mining exploration company focused on developing prospective precious metal properties in the Golden Triangle of northwest British Columbia, Canada. The Company’s primary activities are the exploration and development of the past-producing Eskay Creek mine, which contains a combined Indicated and Inferred 4Moz, 4.4 g/t gold-equivalent open-pit resource. The Company recently completed a Preliminary Economic Assessment (PEA) on Eskay Creek which highlights an after-tax NPV5% of C$638M, 51% IRR and a 1.2-year payback. Skeena is also exploring the past-producing Snip gold mine.
On behalf of the Board of Directors of Skeena Resources Limited,

Walter Coles Jr.
President & CEO
Qualified Persons
Exploration activities at the Eskay Creek Project are administered on site by the Company’s Exploration Managers, Colin Russell, P.Geo. and Adrian Newton, P.Geo. In accordance with National Instrument 43-101 Standards of Disclosure for Mineral Projects, Paul Geddes, P.Geo. Vice President Exploration and Resource Development, is the Qualified Person for the Company and has prepared, validated and approved the technical and scientific content of this news release. The Company strictly adheres to CIM Best Practices Guidelines in conducting, documenting, and reporting its exploration activities on its exploration projects.
Quality Assurance – Quality Control
Once received from the drill and processed, all drill core samples are sawn in half, labelled and bagged. The remaining drill core is subsequently securely stored on site. Numbered security tags are applied to lab shipments for chain of custody requirements. The Company inserts quality control (QC) samples at regular intervals in the sample stream, including blanks and reference materials with all sample shipments to monitor laboratory performance. The QAQC program was designed and approved by Lynda Bloom, P.Geo. of Analytical Solutions Ltd., and is overseen by the Company’s Qualified Person, Paul Geddes, P.Geo, Vice President Exploration and Resource Development.
Drill core samples are submitted to ALS Geochemistry’s analytical facility in North Vancouver, British Columbia for preparation and analysis. The ALS facility is accredited to the ISO/IEC 17025 standard for gold assays and all analytical methods include quality control materials at set frequencies with established data acceptance criteria. The entire sample is crushed and 1kg is pulverized. Analysis for gold is by 50g fire assay fusion with atomic absorption (AAS) finish with a lower limit of 0.01 ppm and upper limit of 100 ppm. Samples with gold assays greater than 100ppm are re-analyzed using a 50g fire assay fusion with gravimetric finish. Analysis for silver is by 50g fire assay fusion with gravimetric finish with a lower limit of 5ppm and upper limit of 10,000ppm. Samples with silver assays greater than 10,000ppm are re-analyzed using a gravimetric silver concentrate method. A selected number of samples are also analyzed using a 48 multi-elemental geochemical package by a 4-acid digestion, followed by Inductively Coupled Plasma Atomic Emission Spectroscopy (ICP-AES) and Inductively Coupled Plasma Mass Spectroscopy (ICP-MS) and also for mercury using an aqua regia digest with Inductively Coupled Plasma Atomic Emission Spectroscopy (ICP-AES) finish. Samples with sulfur reporting greater than 10% from the multi-element analysis are re-analyzed for total sulfur by Leco furnace and infrared spectroscopy.
Cautionary note regarding forward-looking statements
Certain statements made and information contained herein may constitute “forward looking information” and “forward looking statements” within the meaning of applicable Canadian and United States securities legislation. These statements and information are based on facts currently available to the Company and there is no assurance that actual results will meet management’s expectations. Forward-looking statements and information may be identified by such terms as “anticipates”, “believes”, “targets”, “estimates”, “plans”, “expects”, “may”, “will”, “could” or “would”. Forward-looking statements and information contained herein are based on certain factors and assumptions regarding, among other things, the estimation of mineral resources and reserves, the realization of resource and reserve estimates, metal prices, taxation, the estimation, timing and amount of future exploration and development, capital and operating costs, the availability of financing, the receipt of regulatory approvals, environmental risks, title disputes and other matters. While the Company considers its assumptions to be reasonable as of the date hereof, forward-looking statements and information are not guarantees of future performance and readers should not place undue importance on such statements as actual events and results may differ materially from those described herein. The Company does not undertake to update any forward-looking statements or information except as may be required by applicable securities laws.
Neither TSX Venture Exchange nor the Investment Industry Regulatory Organization of Canada accepts responsibility for the adequacy or accuracy of this release.
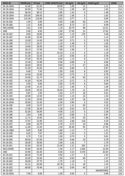
Table 1: Eskay Creek Project 2019 Phase I length weighted drill hole gold and silver composites:


Gold Equivalent (AuEq) calculated via the formula: Au (g/t) + [Ag (g/t) / 75]. Reported core lengths represent 80-100% of true widths and are supported by well-defined mineralization geometries derived from historical drilling. Length weighted AuEq composites were constrained by geological considerations. Grade capping of individual assays has not been applied to the Au and Ag assays informing the length weighted AuEqcomposites. Processing recoveries have not been applied to the AuEq calculation and are disclosed at 100%. Samples below detection limit were nulled to a value of zero.
Table 2: Mine grid Phase I drill hole locations and orientations:












