Vancouver, BC (October 1, 2018) Skeena Resources Limited (TSX.V: SKE, OTCQX: SKREF) (“Skeena” or the “Company”) is pleased to announce additional Au-Ag assay results for five holes from the ongoing Phase I surface drilling program at the Eskay Creek Project (“Eskay Creek”) located in the Golden Triangle of British Columbia. Base metal results are pending and will be disclosed once available. The multifaceted Phase I program is being performed in the historically drill defined 21A, 21C and 22 Zones. Reference images are presented at the end of this release as well as on the Company’s website.
Eskay Creek Phase I Drilling Highlights
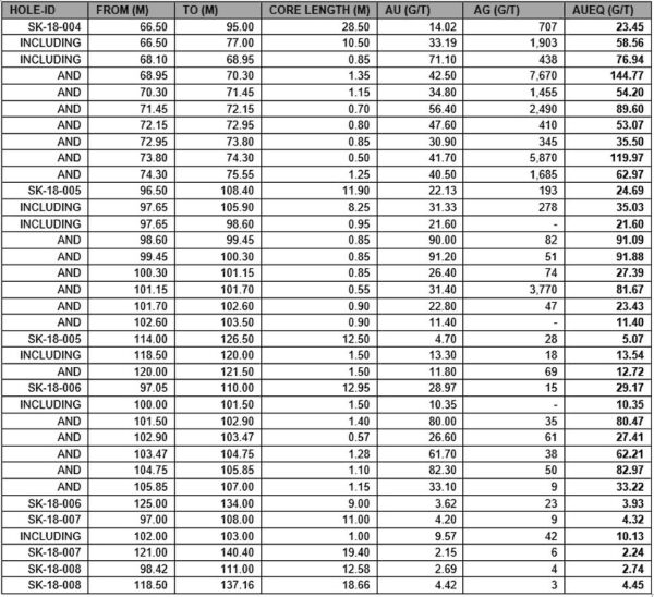
- 14.02 g/t Au, 707 g/t Ag, 23.45 g/t AuEq over 28.50 m (SK-18-004)
- Including: 33.19 g/t Au, 1,903 g/t Ag, 58.56 g/t AuEq over 10.50 m
- 22.13 g/t Au, 193 g/t Ag, 24.69 g/t AuEq over 11.90 m (SK-18-005)
- Including: 31.33 g/t Au, 278 g/t Ag, 35.03 g/t AuEq over 8.25 m
- 28.97 g/t Au, 15 g/t Ag, 29.17 g/t AuEq over 12.95 m (SK-18-006)
Gold Equivalent (AuEq) was calculated with the formula: Au (g/t) + [Ag (g/t) / 75]. Reported core lengths represent 80-100% of true widths and are supported by well-defined mineralization geometries derived from historical drilling. Length weighted AuEq composites were constrained by geological considerations as well as a calculated 1.0 g/t AuEq assay grade cut-off assuming reasonable prospects for economic extraction via open pit mining methods. Grade capping of individual assays has not been applied to the Au and Ag assays informing the length weighted AuEq composites. Processing recoveries have not been applied to the AuEq calculation and are disclosed at 100% due to a lack of supporting information. Samples below detection limit were nulled to a value of zero.
Phase I Drilling Discussion
The Phase I drilling program on the 21A, 21C and 22 Zones is designed to upgrade Inferred Resources to Indicated Resources in areas with low drill density to allow for future economic analyses and to collect fresh core for a planned metallurgical characterization and testing program. No historical drill core remains for any zones at Eskay Creek. Therefore, new material must be collected for metallurgical evaluations. Overall, the metallurgical program is designed to gather unbiased, representative material that is spatially distributed throughout the various zones that will ultimately be used to optimize future mine planning. Core lengths represent 80-100% of true widths and are supported by well-defined mineralization geometries derived from historical drilling.
The 21A Zone represents a significant portion of the pit constrained resources hosted at Eskay Creek containing Indicated Resources of 207,000 oz AuEq grading 5.9 g/t AuEq and Inferred Resources of 418,000 oz AuEq grading 4.6 g/t AuEq (see Skeena press release dated September 17, 2018).
Phase I drill hole SK-18-004 is the final hole on section 10040N, and demonstrates the strong dip continuity of the Au-Ag mineralization hosted within the 21A Zone having intersected 14.02 g/t Au, 707 g/t Ag, 23.45 g/t AuEq over 28.50 metres, including a higher grade interval associated with the contact mudstone averaging 33.19 g/t Au, 1,903 g/t Ag, 58.56 g/t AuEq over 10.50 metres. In this portion of the 21A Zone, exhalative mineralization hosted within the contact mudstone occurs immediately adjacent to footwall rhyolite hosted mineralization.
A second fence of four drill holes located on section 10060N, also demonstrates the exceptional continuity of the mineralization hosted within the contact mudstone as well as within the rhyolite. Zone geometries on this section differ slightly in that the mudstone and rhyolite hosted mineralization bifurcate down dip as opposed to section 10040N where all mineralization styles form a continuous body. Highlights of this area include SK-18-005 and SK-18-006 which intersected 22.13 g/t Au, 193 g/t Ag, 24.69 g/t AuEq over 11.90 metres and 28.97 g/t Au, 15 g/t Ag, 29.17 g/t AuEq over 12.95 metres respectively within the contact mudstone.
The 21A Zone is currently drill defined over a large area measuring 420 m along strike, 180 m down dip with true widths ranging from 1 to 80 m in thickness.
Additional Drill Rig Mobilized
To expedite the Phase I program, a second drill rig has been mobilized to Eskay Creek and is now being utilized on the 21C Zone.
21A and 21B Zones – Analogous Mineralization Styles
The 21B Zone is geologically and geochemically equivalent to the 21A Zone and accounted for the bulk of mineralization historically mined at Eskay Creek. The 21B Zone occurs as a tabular, stratiform, fault bounded body characterized by well-bedded, reworked sulfides and sulfosalts interbedded with unmineralized, carbonaceous argillite (mudstone). In addition to the extremely high precious metal grades, Eskay Creek as a whole, particularly the 21A and 21B Zones, is distinguished from conventional VMS deposits by the association with elements of the epithermal suite (Sb-Hg±As). Elevated concentrations of Sb-Hg-As in the 21A and 21B Zones are not evenly distributed throughout the zones but rather occur as isolated clusters due to later stage localized, hydrothermal overprinting.
Although the bulk of the mined material was hosted in the contact mudstone, significant unmined mineralization exists in proximal feeder structures in the footwall rhyolites (21C and Pumphouse Zones). These zones differ geochemically from the 21A and 21B Zones in that they contain low levels of Sb-Hg-As as compared to those hosted in the contact mudstone.
21B Zone Historical Reconciliation
Underground mining at Eskay Creek was performed using the drift and fill mining method with run of mine material either milled at site to generate a concentrate or as direct shipping ore (“DSO”), to smelters. Due to the elevated concentrations of Sb-Hg-As in the 21B Zone, smelter penalties were often prevented via blending with slightly less deleterious material hence diluting the penalty elements while maintaining a profitable head grade.
Based upon historical internal technical reports from the Eskay Creek Mine, the parameters for determining reserves in 2006 were based upon a gold price of US$475.00 per ounce, a silver price of US$8.50 per ounce and a copper price of US$1.50 per pound, which are significantly lower commodity prices than today. The determination of whether material was milled on site versus shipped directly to an offsite smelter was based on mercury concentrations less than 200 ppm and antimony concentrations less than 1% for onsite milling and greater than 200 ppm mercury and greater than 1% antimony for smelter DSO. The same 2006 mill performance report indicates metallurgical recoveries from onsite milling of the 21B Zone at 84% for gold and 96% for silver.
Despite the substantial precious metal grades and base metal credits of the 21A Zone, in the opinion of the Company, the low commodity prices combined with smelter penalties and necessary cut-off grade deemed the 21A Zone historically uneconomic. As well, antimony was treated as a penalty element and now has the potential to offer significant by-product credits.
About Eskay Creek
In December 2017, Skeena secured an option to acquire 100% interest in the Eskay Creek property. Discovered in the Golden Triangle in 1988, the former Eskay Creek mine produced approximately 3.3 million ounces of gold and 160 million ounces of silver at average grades of 45 g/t gold and 2,224 g/t silver and was once the world’s highest-grade gold mine and fifth-largest silver mine by volume.
A precious and base metal-rich volcanogenic massive sulphide (VMS) deposit, Eskay-style mineralization has been the focus of considerable exploration activity in the Golden Triangle dating back to 1932. Exploration programs in 1988 led to the discovery of the 21A and 21B zones, followed by underground development of the 21B zone starting in 1990 with the official opening of the Eskay Creek mine in 1994. Over the 14-year life of the mine, approximately 2.2 million tonnes of ore were mined with cut-off grades ranging from 12 to 15 g/t AuEq for mill ore and 30 g/t AuEq for direct shipping smelter ore.
Eskay is endowed with excellent infrastructure including all-weather road access and proximity to the new 287-kilovolt Northwest Transmission Line. The Property consists of 8 mineral leases, 2 surface leases and several unpatented mining claims totaling 6,151 hectares.
Eskay is in the traditional territory of the Tahltan Nation. Skeena has a positive working relationship with the Tahltan Central Government (“TCG”) and has signed Exploration and Communication Agreements with the TCG that cover the Company’s other projects in Tahltan territory (see new releases dated September 25, 2017 and January 24, 2017).
About Skeena
Skeena Resources Limited is a junior Canadian mining exploration company focused on developing prospective precious and base metal properties in the Golden Triangle of northwest British Columbia, Canada. The Company’s primary activities are the exploration and development of the past-producing Snip mine and the recently optioned Eskay Creek mine, both acquired from Barrick. In addition, the Company has completed a Preliminary Economic Assessment on the GJ copper-gold porphyry project.
On behalf of the Board of Directors of Skeena Resources Limited,
Walter Coles Jr.
President & CEO
Qualified Persons
Exploration activities at the Eskay Creek Project are administered on site by the Company’s Exploration Managers, Colin Russell, P.Geo. and Adrian Newton, P.Geo. In accordance with National Instrument 43-101 Standards of Disclosure for Mineral Projects, Paul Geddes, P.Geo. Vice President Exploration and Resource Development, is the Qualified Person for the Company and has prepared, validated and approved the technical and scientific content of this news release. The Company strictly adheres to CIM Best Practices Guidelines in conducting, documenting, and reporting its exploration activities on its exploration projects.
Quality Assurance – Quality Control
Once received from the drill and processed, all drill core samples are sawn in half, labelled and bagged. The remaining drill core is subsequently securely stored on site. Numbered security tags are applied to lab shipments for chain of custody requirements. The Company inserts quality control (QC) samples at regular intervals in the sample stream, including blanks and reference materials with all sample shipments to monitor laboratory performance. The QAQC program was designed and approved by Lynda Bloom, P.Geo. of Analytical Solutions Ltd., and is overseen by the Company’s Qualified Person, Paul Geddes, P.Geo, Vice President Exploration and Resource Development.
Drill core samples are submitted to ALS Geochemistry’s analytical facility in North Vancouver, British Columbia for preparation and analysis. The ALS facility is accredited to the ISO/IEC 17025 standard for gold assays and all analytical methods include quality control materials at set frequencies with established data acceptance criteria. The entire sample is crushed and 1kg is pulverized. Analysis for gold is by 50g fire assay fusion with atomic absorption (AAS) finish with a lower limit of 0.01 ppm and upper limit of 100 ppm. Samples with gold assays greater than 100ppm are re-analyzed using a 50g fire assay fusion with gravimetric finish. Analysis for silver is by 50g fire assay fusion with gravimetric finish with a lower limit of 5ppm and upper limit of 10,000ppm. Samples with silver assays greater than 10,000ppm are re-analyzed using a gravimetric silver concentrate method. A selected number of samples are also analyzed using a 48 multi-elemental geochemical package by a 4-acid digestion, followed by Inductively Coupled Plasma Atomic Emission Spectroscopy (ICP-AES) and Inductively Coupled Plasma Mass Spectroscopy (ICP-MS) and also for mercury using an aqua regia digest with Inductively Coupled Plasma Atomic Emission Spectroscopy (ICP-AES) finish. Samples with sulfur reporting greater than 10% from the multi-element analysis are re-analyzed for total sulfur by Leco furnace and infrared spectroscopy.
Cautionary note regarding forward-looking statements
Certain statements made and information contained herein may constitute “forward looking information” and “forward looking statements” within the meaning of applicable Canadian and United States securities legislation. These statements and information are based on facts currently available to the Company and there is no assurance that actual results will meet management’s expectations.Forward-looking statements and information may be identified by such terms as “anticipates”, “believes”, “targets”, “estimates”, “plans”, “expects”, “may”, “will”, “could” or “would”.Forward-looking statements and information contained herein are based on certain factors and assumptions regarding, among other things, the estimation of mineral resources and reserves, the realization of resource and reserve estimates, metal prices, taxation, the estimation, timing and amount of future exploration and development, capital and operating costs, the availability of financing, the receipt of regulatory approvals, environmental risks, title disputes and other matters.While the Company considers its assumptions to be reasonable as of the date hereof, forward-looking statements and information are not guarantees of future performance and readers should not place undue importance on such statements as actual events and results may differ materially from those described herein. The Company does not undertake to update any forward-looking statements or information except as may be required by applicable securities laws.
Neither TSX Venture Exchange nor the Investment Industry Regulatory Organization of Canada accepts responsibility for the adequacy or accuracy of this release.
Table 1: Eskay Creek Project Phase I 21A Zone length weighted drill hole gold and silver composites:
Gold Equivalent (AuEq) was calculated with the formula: Au (g/t) + [Ag (g/t) / 75]. Reported core lengths represent 80-100% of true widths and are supported by well-defined mineralization geometries derived from historical drilling. Length weighted AuEq composites were constrained by geological considerations as well as a calculated 1.0 g/t AuEq assay grade cut-off assuming reasonable prospects for economic extraction via open pit mining methods. Grade capping of individual assays has not been applied to the Au and Ag assays informing the length weighted AuEq composites. Processing recoveries have not been applied to the AuEq calculation and are disclosed at 100% due to a lack of supporting information. Samples below detection limit were nulled to a value of zero.
Table 2: Mine grid Phase I drill hole locations and orientations


Suite 650, 1021 W. Hastings St. Vancouver, B.C., Canada V6E 0C3
Tel: (604) 684-8725 Fax: (604) 558-7695 Email: [email protected]








