New Mineralization Discovered in 200 Footwall Corridor
Vancouver, BC (June 14, 2018) Skeena Resources Limited (TSX.V: SKE, OTCQX: SKREF) (“Skeena” or the “Company”) is pleased to announce additional assays from 11 holes of the Phase II underground drilling program at the Company’s 100% owned Snip Gold Project (“Snip”) located in the Golden Triangle of British Columbia.
The Phase II drilling program totalling 11,000 m is being performed from the existing underground infrastructure utilizing two drill rigs. Building upon the data gathered from the recently completed 2017 Phase I campaign, the 2018 program is designed to further delineate known mineralization with low drill density and to expand newly modelled zones via widely spaced exploratory step-out drill holes. Reference mine sections are presented at the end of this release as well as on the Company’s website.
Phase II Drilling Highlights:
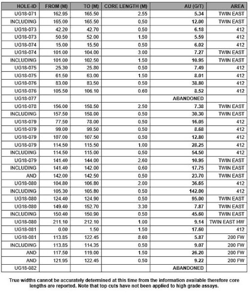
- 7.27 g/t Au over 3.0 m (UG18-074)
- 28.25 g/t Au over 1.0 m (UG18-079)
- 10.95 g/t Au over 2.6 m (UG18-079)
- 36.65 g/t Au over 2.0 m (UG18-080)
- 95.00 g/t Au over 0.5 m (UG18-080)
- 7.87 g/t Au over 3.3 m (UG18-080)
- 17.60 g/t Au over 1.5 m (UG18-081)
- 26.20 g/t Au over 1.5 m (UG18-081)
New 200 Footwall Corridor Expands
In an historically unexplored portion of the easternmost footwall mine stratigraphy, Phase II drill hole UG18-081 successfully intersected the recently modelled 200 Footwall Corridor over a wide interval grading 5.87 g/t Au over 8.6 m including 26.20 g/t Au over 1.5 m, 9.07 g/t Au over 0.5 m and 9.22 g/t Au over 0.5 m. Spatially, these new intersections correlate with the interpreted strike extension of the 200 Footwall Corridor and represent an up-plunge expansion 100 m east of historic 1997 underground drill hole UG-1701 (26.67 g/t Au over 4.4 m). Past drilling programs by previous operators focused on the historically mined Twin Zone and not the exploration potential of the footwall. As such, these new intersections are open for expansion due to the lack of drilling in this area.
Infill Drilling Continues to Demonstrate Grade Continuity
Delineation drilling of the Eastern Twin Zone and 412 Veining Corridors continues to upgrade geological and grade confidence of the historical database in preparation for a maiden resource estimate at Snip. This is demonstrated by drill hole UG18-080 in the 412 Corridor which intersected 36.65 g/t Au over 2.0 m, including 142.00 g/t Au over 0.5 m. Drill hole UG18-080 also intersected additional 412 Corridor mineralization grading 95.00 g/t Au over 0.5 m and Eastern Twin Zone mineralization averaging 7.87 g/t Au over 3.3 m including 45.6 g/t Au over 0.5 m.
About Skeena
Skeena Resources Limited is a junior Canadian mining exploration company focused on developing prospective precious and base metal properties in the Golden Triangle of northwest British Columbia, Canada. The Company’s primary activities are the exploration and development of the past-producing Snip mine and the recently optioned Eskay Creek mine, both acquired from Barrick. In addition, the Company has completed a Preliminary Economic Assessment on the GJ copper-gold porphyry project.
On behalf of the Board of Directors of Skeena Resources Limited,
Walter Coles Jr.
President & CEO
Qualified Persons
Exploration activities at Snip are administered on site by the Company’s Exploration Managers, Colin Russell, P.Geo. and Adrian Newton, P.Geo. In accordance with National Instrument 43-101 Standards of Disclosure for Mineral Projects, Paul Geddes, P.Geo. Vice President Exploration and Resource Development, is the Qualified Person for the Company and has prepared, validated and approved the technical and scientific content of this news release. The Company strictly adheres to CIM Best Practices Guidelines in conducting, documenting, and reporting its exploration activities on its exploration projects.
Quality Assurance – Quality Control
Once received from the drill and processed, all drill core samples are sawn in half, labelled and bagged. The remaining drill core is subsequently securely stored on site. Numbered security tags are applied to lab shipments for chain of custody requirements. The Company inserts quality control (QC) samples at regular intervals in the sample stream, including blanks and reference materials with all sample shipments to monitor laboratory performance. The QAQC program was designed and approved by Lynda Bloom, P.Geo. of Analytical Solutions Ltd., and is overseen by the Company’s Qualified Person, Paul Geddes, P.Geo., Vice President Exploration and Resource Development.
Drill core samples are submitted to ALS Geochemistry’s analytical facility in North Vancouver, British Columbia for preparation and analysis. The ALS facility is accredited to the ISO/IEC 17025 standard for gold assays and all analytical methods include quality control materials at set frequencies with established data acceptance criteria. The entire sample is crushed and 250 grams is pulverized. Analysis for gold is by 50 g fire assay fusion with atomic absorption (AAS) finish with a lower limit of 0.01 ppm and upper limit of 100 ppm. Samples with gold assays greater than 10 ppm are re-analyzed using a 1,000 g screen metallic fire assay. A selected number of samples are also analyzed using a 48 multi-elemental geochemical package by a 4-acid digestion, followed by Inductively Coupled Plasma Atomic Emission Spectroscopy (ICP-AES) and Inductively Coupled Plasma Mass Spectroscopy (ICP-MS) finish
Table 1: Snip Project Phase II length weighted drill hole gold composites:
Table 2: Mine grid Phase II underground drill hole locations and orientations


Cautionary Note Regarding Forward-Looking Statements
Certain statements made and information contained herein may constitute “forward looking information” and “forward looking statements” within the meaning of applicable Canadian and United States securities legislation. These statements and information are based on facts currently available to the Company and there is no assurance that actual results will meet management’s expectations. Forward-looking statements and information may be identified by such terms as “anticipates”, “believes”, “targets”, “estimates”, “plans”, “expects”, “may”, “will”, “could” or “would”. Forward-looking statements and information contained herein are based on certain factors and assumptions regarding, among other things, the estimation of mineral resources and reserves, the realization of resource and reserve estimates, metal prices, taxation, the estimation, timing and amount of future exploration and development, capital and operating costs, the availability of financing, the receipt of regulatory approvals, environmental risks, title disputes and other matters. While the Company considers its assumptions to be reasonable as of the date hereof, forward-looking statements and information are not guarantees of future performance and readers should not place undue importance on such statements as actual events and results may differ materially from those described herein. The Company does not undertake to update any forward-looking statements or information except as may be required by applicable securities laws.
Neither TSX Venture Exchange nor the Investment Industry Regulatory Organization of Canada accepts responsibility for the adequacy or accuracy of this release.
Suite 650, 1021 W. Hastings St. Vancouver, B.C., Canada V6E 0C3
Tel: (604) 684-8725 Fax: (604) 558-7695 Email: [email protected]




