Vancouver, BC (June 26, 2018) Skeena Resources Limited (TSX.V: SKE, OTCQX: SKREF) (“Skeena” or the “Company”) is pleased to announce additional assays from 11 holes of the Phase II underground drilling program at the Company’s 100% owned Snip Gold Project (“Snip”) located in the Golden Triangle of British Columbia.
The Phase II drilling program totaling 11,000 m is being performed from existing underground infrastructure utilizing two drill rigs. Building upon the data gathered from the 2017 Phase I campaign, the 2018 program is designed to expand newly modelled zones via widely spaced exploratory drill step outs, and further delineate known mineralization in areas of low drilling density. Reference mine sections are presented at the end of this release as well as on the Company’s website.
Phase II Drilling Highlights:
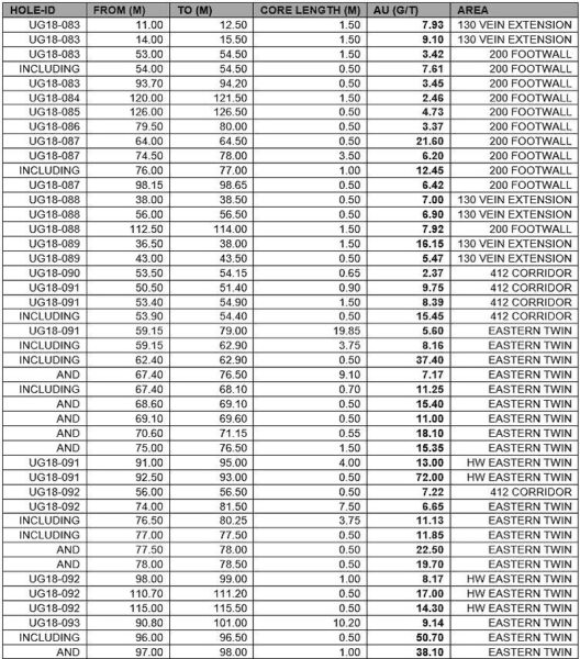
- 5.60 g/t Au over 19.85 m (UG18-091)
- 13.00 g/t Au over 4.00 m (UG18-091)
- 72.00 g/t Au over 0.50 m (UG18-091)
- 11.13 g/t Au over 3.75 m (UG18-092)
- 6.65 g/t Au over 7.50 m (UG18-092)
- 9.14 g/t Au over 10.20 m (UG18-093)
Eastern Twin Zone Continues to Evolve
The ongoing Phase II underground delineation drilling program at Snip continues to demonstrate high gold grades and widths of mineralization in the evolving Eastern Twin Zone target as established by 2018 drillholes UG18-091, UG18-092 and UG18-093. Drillhole UG18-091 intersected 8.16 g/t Au over 3.75 m and 7.17 g/t Au over 9.10 m hosted in a larger interval grading 5.60 g/t Au over 19.85 m situated 25 m down-dip of UG18-092 which averaged 6.65 g/t Au over 7.50 m. The continuity and width of the mineralization was further expanded 50 m up-dip of the latter interval by drillhole UG18-093 which intersected 9.14 g/t Au over 10.20 m.
200 Footwall Corridor Geometry Defined
The first series of widely-spaced exploratory drill holes in the newly modelled 200 Footwall Corridor target were all successful in delineating a large structure oriented subparallel to the historically mined Twin Zone which occurs as a strongly altered, dense network of en-echelon veining hosted within a succession of sheared metasediments. The current interpretation based upon the Phase II drilling information is that the gold mineralization occurs within a shallowly plunging zone contained within the larger 200 Footwall structure in the relatively small area currently drilled. The 200 Footwall remains open for expansion both down-dip and down-plunge.
About Skeena
Skeena Resources Limited is a junior Canadian mining exploration company focused on developing prospective precious and base metal properties in the Golden Triangle of northwest British Columbia, Canada. The Company’s primary activities are the exploration and development of the past-producing Snip mine and the recently optioned Eskay Creek mine, both acquired from Barrick. In addition, the Company has completed a Preliminary Economic Assessment on the GJ copper-gold porphyry project.
On behalf of the Board of Directors of Skeena Resources Limited,
Walter Coles Jr.
President & CEO
Qualified Persons
Exploration activities at the Snip Gold Project are administered on site by the Company’s Exploration Managers, Colin Russell, P.Geo. and Adrian Newton, P.Geo. In accordance with National Instrument 43-101 Standards of Disclosure for Mineral Projects, Paul Geddes, P.Geo. Vice President Exploration and Resource Development, is the Qualified Person for the Company and has prepared, validated and approved the technical and scientific content of this news release. The Company strictly adheres to CIM Best Practices Guidelines in conducting, documenting, and reporting its exploration activities on its exploration projects.
Quality Assurance – Quality Control
Once received from the drill and processed, all drill core samples are sawn in half, labelled and bagged. The remaining drill core is subsequently securely stored on site. Numbered security tags are applied to lab shipments for chain of custody requirements. The Company inserts quality control (QC) samples at regular intervals in the sample stream, including blanks and reference materials with all sample shipments to monitor laboratory performance. The QAQC program was designed and approved by Lynda Bloom, P.Geo. of Analytical Solutions Ltd., and is overseen by the Company’s Qualified Person, Paul Geddes, P.Geo, Vice President Exploration and Resource Development.
Drill core samples are submitted to ALS Geochemistry’s analytical facility in North Vancouver, British Columbia for preparation and analysis. The ALS facility is accredited to the ISO/IEC 17025 standard for gold assays and all analytical methods include quality control materials at set frequencies with established data acceptance criteria. The entire sample is crushed and 250 grams is pulverized. Analysis for gold is by 50g fire assay fusion with atomic absorption (AAS) finish with a lower limit of 0.01 ppm and upper limit of 100 ppm. Samples with gold assays greater than 10 ppm are re-analyzed using a 1,000g screen metallic fire assay. A selected number of samples are also analyzed using a 48 multi-elemental geochemical package by a 4-acid digestion, followed by Inductively Coupled Plasma Atomic Emission Spectroscopy (ICP-AES) and Inductively Coupled Plasma Mass Spectroscopy (ICP-MS).
Table 1: Snip Project Phase II length weighted drillhole gold composites:
Table 2: Mine grid Phase II underground drillhole locations and orientations.

Cautionary note regarding forward-looking statements
Certain statements made and information contained herein may constitute “forward looking information” and “forward looking statements” within the meaning of applicable Canadian and United States securities legislation. These statements and information are based on facts currently available to the Company and there is no assurance that actual results will meet management’s expectations. Forward-looking statements and information may be identified by such terms as “anticipates”, “believes”, “targets”, “estimates”, “plans”, “expects”, “may”, “will”, “could” or “would”. Forward-looking statements and information contained herein are based on certain factors and assumptions regarding, among other things, the estimation of mineral resources and reserves, the realization of resource and reserve estimates, metal prices, taxation, the estimation, timing and amount of future exploration and development, capital and operating costs, the availability of financing, the receipt of regulatory approvals, environmental risks, title disputes and other matters. While the Company considers its assumptions to be reasonable as of the date hereof, forward-looking statements and information are not guarantees of future performance and readers should not place undue importance on such statements as actual events and results may differ materially from those described herein. The Company does not undertake to update any forward-looking statements or information except as may be required by applicable securities laws.
Neither TSX Venture Exchange nor the Investment Industry Regulatory Organization of Canada accepts responsibility for the adequacy or accuracy of this release.
Suite 650, 1021 W. Hastings St. Vancouver, B.C., Canada V6E 0C3
Tel: (604) 684-8725 Fax: (604) 558-7695 Email: [email protected]






